回首頁
關於公會
公會緣起
公會章程
組織架構
核心價值
訓練政策與承諾
歷屆理事長
服務團隊
理事長介紹
副理事長介紹
理監事介紹
功能委員會介紹
公會會務顧問
法律顧問團隊
會務人員
會員專區
會員介紹
停業會員
停權會員
入會說明
公會資訊
訊息公告
政令宣導
理監事會議紀錄
教育訓練專區
年度教育訓練課程
營業員-新、複訓班
專題講座
租賃住宅管理人員
表單下載
地政局申請許可件
入會(異動)申請書
繳存(退)營保金申請表
個人資料檔案安全維護
各項定型化契約範本
高專承攬契約書
消費糾紛相關表格
聯賣合作意願書
不動產經紀營業員-專區
勞動契約應注意事項
相關連結
相關單位網站
會員推薦網站
活動花絮
會議紀錄
講座花絮
交流活動花絮
租賃住宅專區
訊息公告
宣傳資訊
租賃表單下載
新聞資訊
租賃教育訓練
租賃住宅題庫下載
成績公布查詢
公會資訊選單
訊息公告
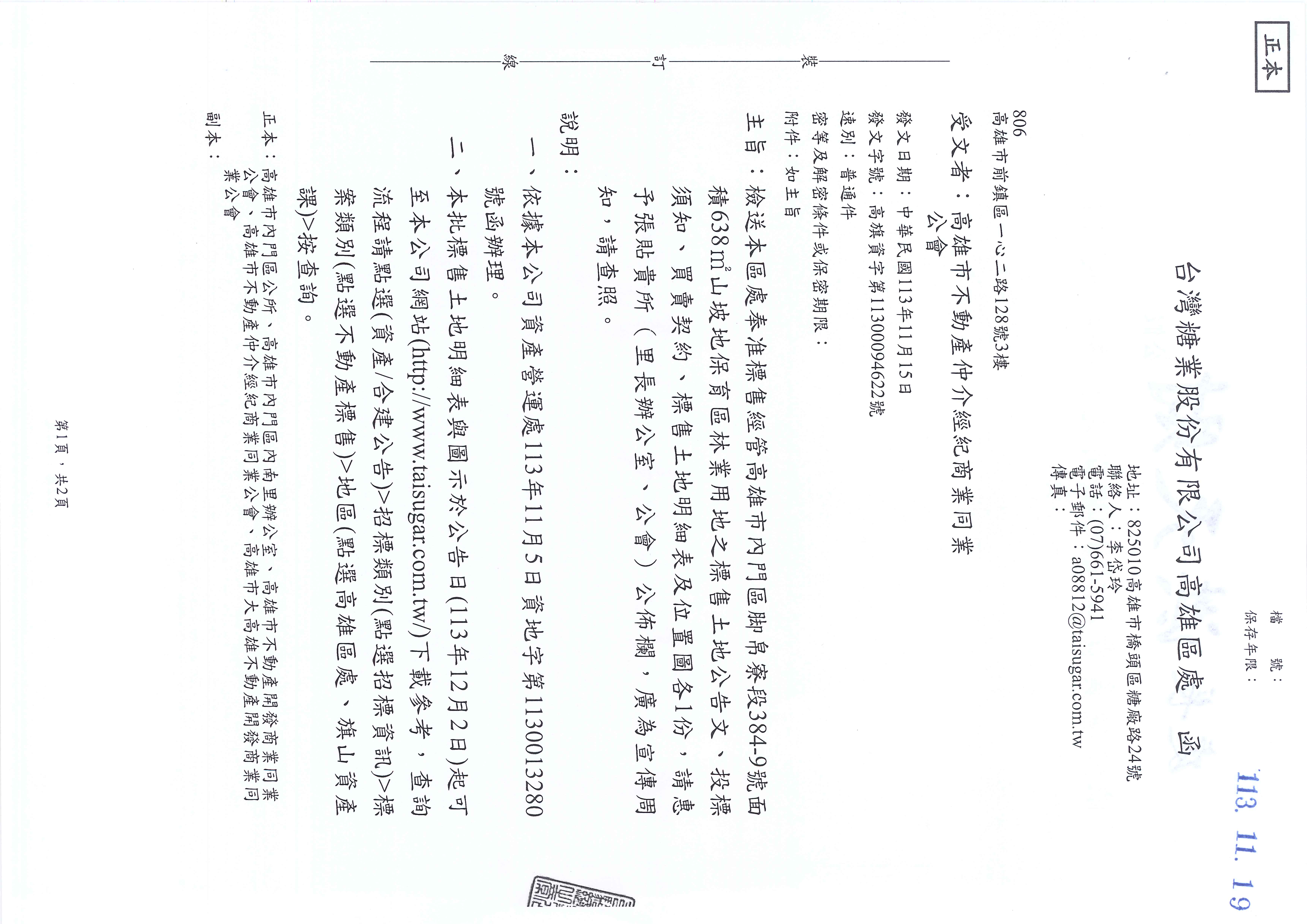
» 【台灣糖業】高雄市內門區脚帛寮段山坡地保育區林業用地標售案
發文日期:2024/11/19
發文組織:高雄市不動產仲介經紀商業同業公會
檔案下載
附件一:
標售土地公告文.pdf
附件二:
投標須知、買賣契約、標售土地明細表及位置圖.pdf