訊息公告 » 【高雄市新商業會】函轉高雄市政府衛生局107年職場「對抗流感!揪團打疫苗送好禮」活動

發文日期:2018/10/29
發文組織:高雄市不動產仲介經紀商業同業公會

【高雄市新商業會】

函轉高雄市政府衛生局107年職場

「對抗流感!揪團打疫苗送好禮」活動一案,

敬請轉知所屬會員踴躍響應,請 查照。

1264018_1a56bc091c28889d15e7d8fe1da491d91264019_9b7b9b3f80c56bcba26d3d8d34ec6443


時間:即日起至107年10月31日(星期三)止

活動對象:本市轄區內企業、公司、機關、行號或團體

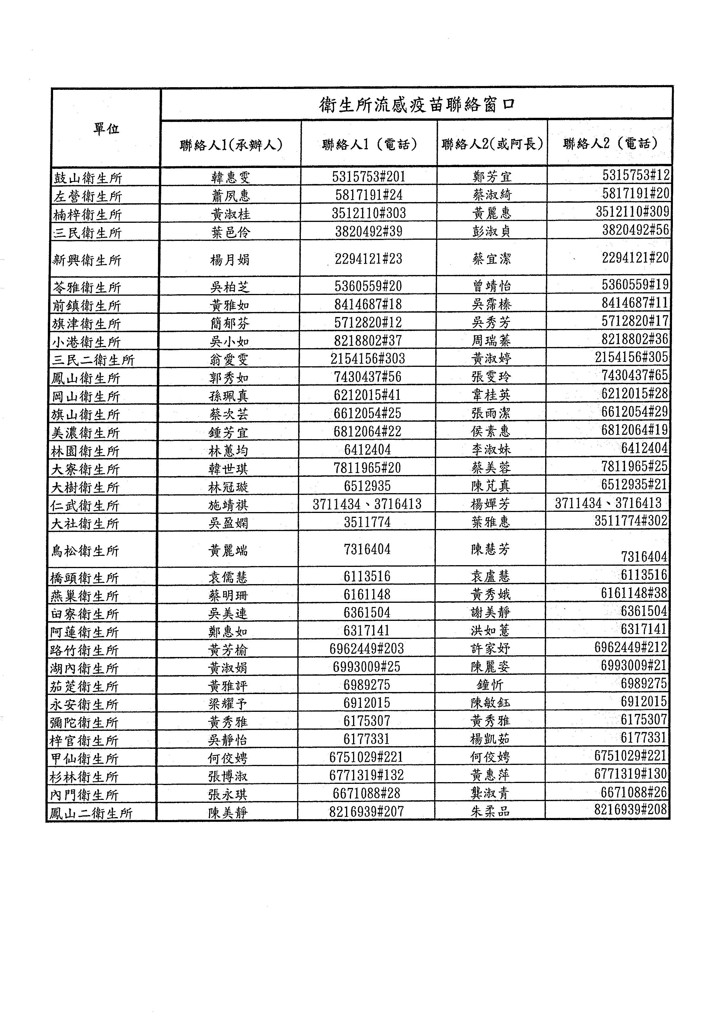
地點:至轄內衛生所報名


詳如附件:  1.公        文:檔案下載(公文.pdf)

                  2.簡        章:檔案下載(簡章.pdf)